服务咨询电话:
0751-2888656
首页
产品服务
新闻动态
关于名图
联系我们
产品搜索
Product search
请输入:中、英文名称,CAS号,产品编号进行搜索查询.
产品分类
Product category
分析科学
分析试剂
分析标准品
高效液相色谱
气相色谱
离子传感器材料
树脂与LC分离介质
生物科学
生化试剂
微生物学
分子生物学
细胞培养
细胞生物学
血液学组织学
材料科学
电子材料
生物材料
纳米材料
替代能源
有机印刷材料
高分子科学
高端化学
合成试剂
特殊合成
稳定性同位素
有机金属试剂
化学生物学
催化和无机化学
分析试剂
首页
/
产品展示
/
分析科学
/
分析试剂
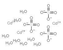
MT00228
硫酸镉
7790-84-3
英文名称:
cadmium sulfate hydrate
常用别名:
硫酸镉(八水)
CAS号:
7790-84-3
沸点:
N/A
MDL号:
N/A
熔点:
41 °C
分子式:
Cd
3
H
16
O
20
S
3
闪点:
N/A
分子量:
769.54300
密度:
3.08
物化性质:
N/A
存储条件:
常温密闭避光,通风干燥
货号
纯度
销售价(RMB)
折扣价(RMB)
库存
MT00228-500g
AR99%
135
135
>10
MT00228-25kg
AR99%
4500
4500
>10
上一篇
返回列表
下一篇
在线咨询
在线咨询
在线咨询
在线咨询
在线咨询
0751-2888656